Skip to content

Columbia Spy

Columbia, PA 17512 News & Opinion

Columbia Spy

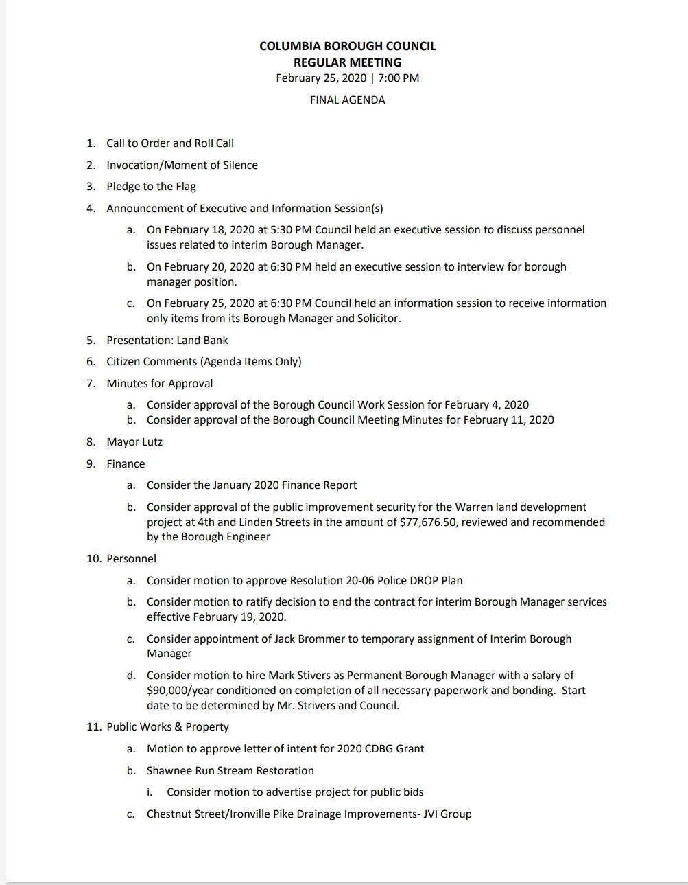
Final Agenda – Columbia Borough Council Meeting – February 25, 2020

Share this:

  • Share on X (Opens in new window) X
  • Share on Facebook (Opens in new window) Facebook
  • More
  • Share on Bluesky (Opens in new window) Bluesky
  • Share on X (Opens in new window) X
Like Loading...

Related

Unknown's avatarAuthor SPYPosted on February 24, 2020

Leave a comment Cancel reply

Post navigation

Previous Previous post: Food Box Giveaway moved to Glatfelter Field
Next Next post: Council made Columbia Borough manager changes last week in unannounced executive session
  • 2026 Lancaster County Firefighters Parade – Columbia Borough Fire Department — June 6, 2026 in Columbia
  • Two Lancaster County teens charged as adults in Oswego Drive shooting, police chase
  • East Donegal man charged in Columbia hit & run
  • Columbia Borough Seeks Buyers for McGinness Property Through Sealed Bid Process
  • Deeds Recorded — Columbia Borough — March 30, 2026
Columbia Spy Blog at WordPress.com.
  • Comment
  • Reblog
  • Subscribe Subscribed
    • Columbia Spy
    • Already have a WordPress.com account? Log in now.
    • Columbia Spy
    • Subscribe Subscribed
    • Sign up
    • Log in
    • Copy shortlink
    • Report this content
    • View post in Reader
    • Manage subscriptions
    • Collapse this bar
%d