Skip to content

Columbia Spy

Columbia, PA 17512 News & Opinion

Columbia Spy

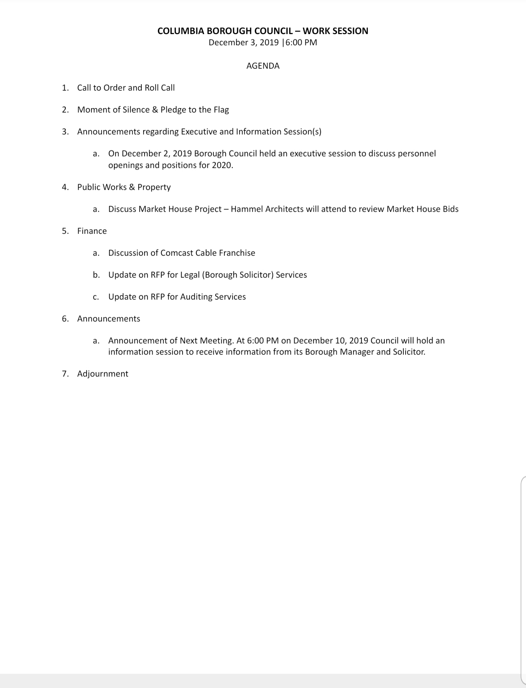
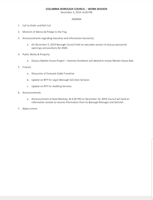
Agenda – Columbia Borough Council Work Session – December 3, 2019

Share this:

  • Share on X (Opens in new window) X
  • Share on Facebook (Opens in new window) Facebook
  • More
  • Share on Bluesky (Opens in new window) Bluesky
  • Share on X (Opens in new window) X
Like Loading...

Related

Unknown's avatarAuthor SPYPosted on December 2, 2019Format Image

Leave a comment Cancel reply

Post navigation

Previous Previous post: UPDATE: CANCELED – Crochet Along with Kasey at the Library – Tuesday, December 3
Next Next post: Used Book Sale This Week at the Library
  • Columbia’s Gene Sweeney: From Silence to Significance
  • Deeds Recorded — Columbia Borough — April 20, 2026
  • About Town — April 19, 2026
  • Problems crop up with former McGinness property: Mosquitoes and bid process
  • Fire companies respond to woods fire at Chickies Rock County Park
Columbia Spy Blog at WordPress.com.
  • Comment
  • Reblog
  • Subscribe Subscribed
    • Columbia Spy
    • Already have a WordPress.com account? Log in now.
    • Columbia Spy
    • Subscribe Subscribed
    • Sign up
    • Log in
    • Copy shortlink
    • Report this content
    • View post in Reader
    • Manage subscriptions
    • Collapse this bar
%d