Skip to content

Columbia Spy

Columbia, PA 17512 News & Opinion

Columbia Spy

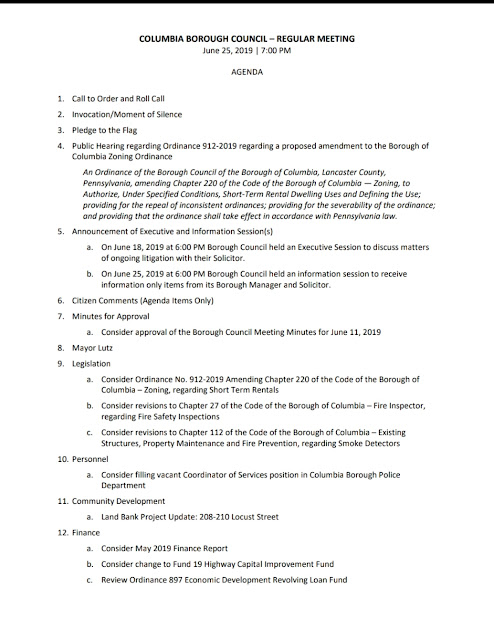
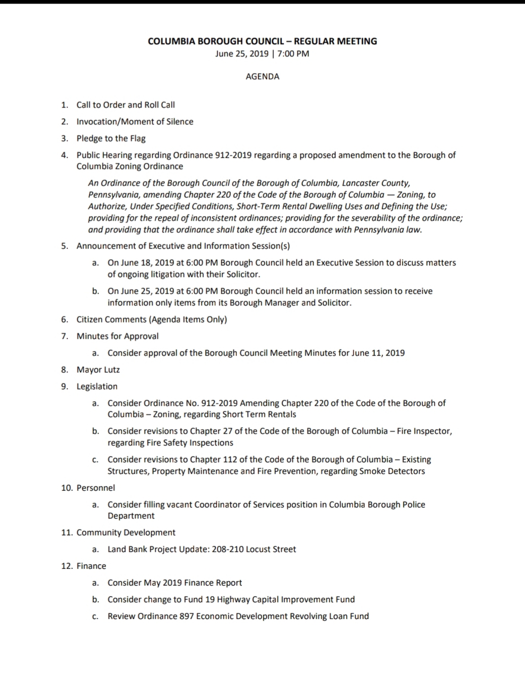
Agenda – Columbia Borough Council Meeting, June 25, 2019

The complete council packet can be downloaded HERE

Share this:

  • Share on X (Opens in new window) X
  • Share on Facebook (Opens in new window) Facebook
  • More
  • Share on Bluesky (Opens in new window) Bluesky
  • Share on X (Opens in new window) X
Like Loading...

Related

Unknown's avatarAuthor SPYPosted on June 22, 2019

Leave a comment Cancel reply

Post navigation

Previous Previous post: Road Closures – Saturday, June 22 and Wednesday, June 26
Next Next post: Creators of 'The Special,' a horror film shot in Columbia, Lancaster and York, discuss the area's potential for film industry
  • Deeds Recorded – Columbia Borough – April 6, 2026
  • About Town — April 5, 2026
  • 2026 Lancaster County Firefighters Parade – Columbia Borough Fire Department — June 6, 2026 in Columbia
  • Two Lancaster County teens charged as adults in Oswego Drive shooting, police chase
  • East Donegal man charged in Columbia hit & run
Columbia Spy Blog at WordPress.com.
  • Comment
  • Reblog
  • Subscribe Subscribed
    • Columbia Spy
    • Already have a WordPress.com account? Log in now.
    • Columbia Spy
    • Subscribe Subscribed
    • Sign up
    • Log in
    • Copy shortlink
    • Report this content
    • View post in Reader
    • Manage subscriptions
    • Collapse this bar
%d