Skip to content

Columbia Spy

Columbia, PA 17512 News & Opinion

Columbia Spy

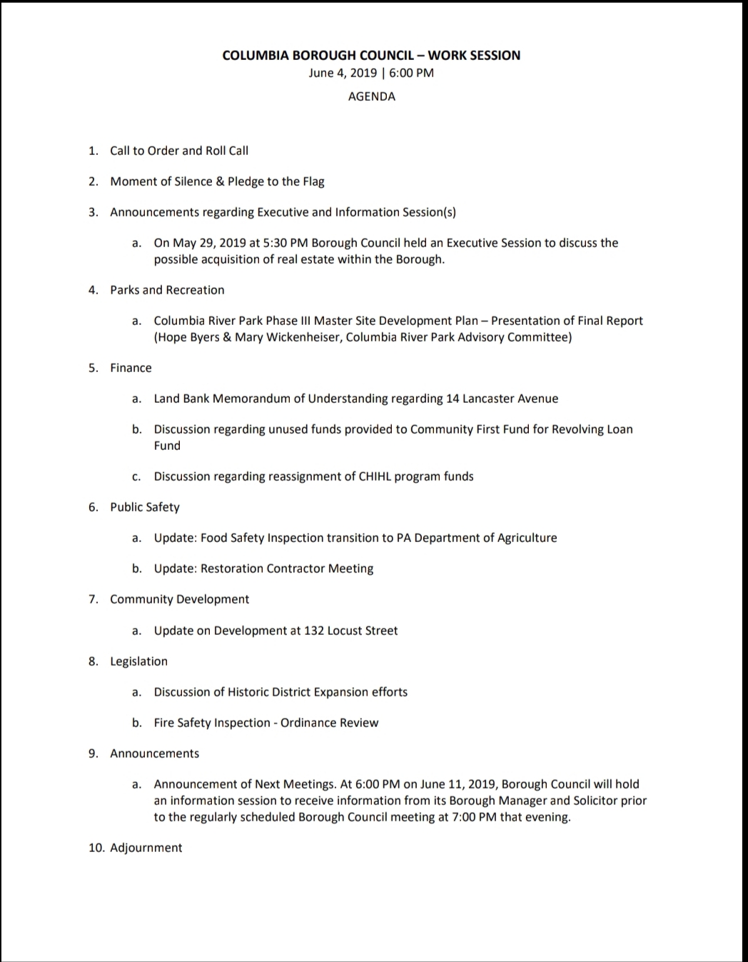
Agenda – Columbia Borough Council Work Session, June 4, 2019

The meeting packet can be downloaded HERE.

Share this:

  • Share on X (Opens in new window) X
  • Share on Facebook (Opens in new window) Facebook
  • More
  • Share on Bluesky (Opens in new window) Bluesky
  • Share on X (Opens in new window) X
Like Loading...

Related

Unknown's avatarAuthor SPYPosted on June 1, 2019

Leave a comment Cancel reply

Post navigation

Previous Previous post: Columbia Borough Meetings – Week of June 3, 2019
Next Next post: About Town 6/2/19
  • Columbia Borough Officer Jack Kopp promoted to Corporal
  • Agenda — Columbia Borough Zoning Hearing Board Meeting — April 29, 2026
  • Holly Arndt becomes first female police chief in Columbia Borough history
  • Will Lt. Holly Arndt become Columbia’s next police chief?
  • Deeds Recorded — Columbia Borough — April 27, 2026
Columbia Spy Blog at WordPress.com.
  • Comment
  • Reblog
  • Subscribe Subscribed
    • Columbia Spy
    • Already have a WordPress.com account? Log in now.
    • Columbia Spy
    • Subscribe Subscribed
    • Sign up
    • Log in
    • Copy shortlink
    • Report this content
    • View post in Reader
    • Manage subscriptions
    • Collapse this bar
%d