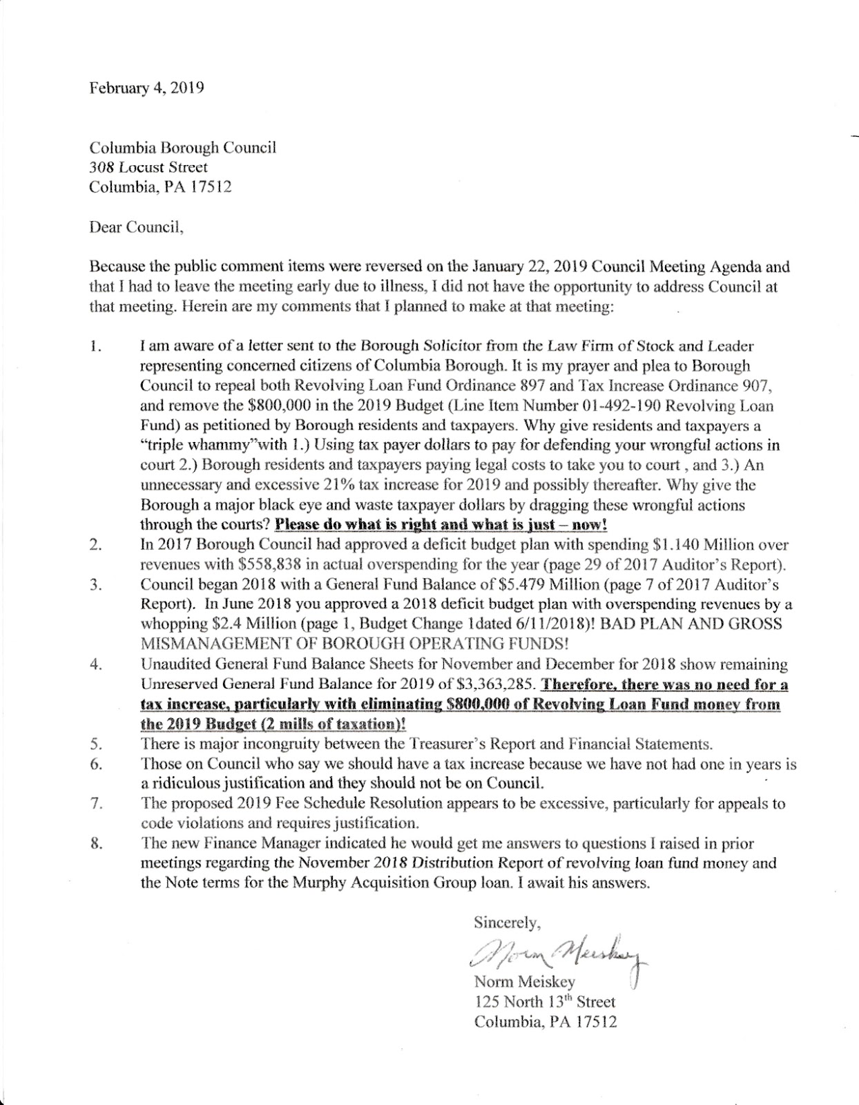
Former Columbia Borough Manager Norm Meiskey is urging borough council to repeal its recently created Revolving Loan Fund and municipal tax hike, in order to avoid a lengthy and costly court battle at taxpayers’ expense. The letter, which was submitted to council members last night, references a previous letter to Council from the law firm of Stock and Leader challenging the legality of the fund and its accompanying tax increase. Meiskey’s letter also accuses Council of overspending and questions the justification for the tax hike.


They “The Council ” should not have a Win Win Win situation!! We the TAX people must fight this, even if it takes TAX DOLLARS to do it!!If we give in they win! If we fight and they lose we win on our DOLLAR, BUT we have risen to the occasion of the CORRUPT SEVEN!! Let them eat CAKE!!
LikeLike
Thank you Norm
LikeLike
Didn't this hole revolving fund come in with Rebecca when she was a consultant ?
LikeLike
They “The Council ” should not have a Win Win Win situation!! We the TAX people must fight this, even if it takes TAX DOLLARS to do it!!If we give in they win! If we fight and they lose we win on our DOLLAR, BUT we have risen to the occasion of the CORRUPT SEVEN!! Let them eat CAKE!!
LikeLike
Thank you Norm
LikeLike
Didn't this hole revolving fund come in with Rebecca when she was a consultant ?
LikeLike