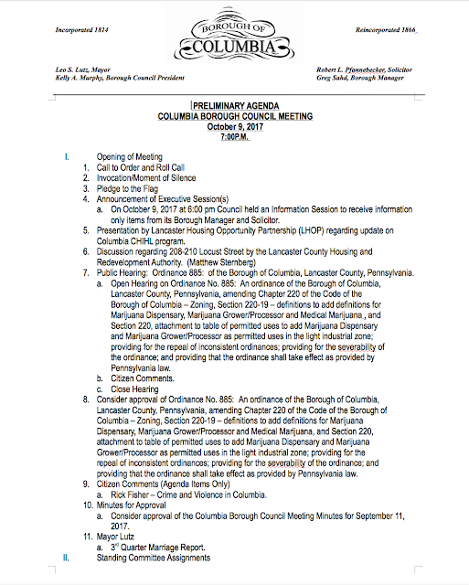
0 thoughts on “Draft Agenda – Borough Council Meeting October 9, 2017”
90 grand for a borough manager? Really, the spending spree continues by the Coffee Club. Why not spend money on streets and cleaning up the town. That is WAY TOO much for this position, who we haven't seen anything this person has done! What experience does she have? What were past managers making?
Dear Lord help us. What the hell are you councilpersons thinking???? Money does NOT grow on trees. You are burying this town with the debt you continue to build. NO NO NO. Stop the spending. $95,000 a year for the first year for a Boro Manager???? Does this person even have any kind of background for this position? Are you people nuts? You NEVER listen to your constituents that put you in that seat. We are LOSING our homes every day. We can't afford to live. OUr taxes are OUT OF CONTROL and yet, you have the audacity to throw this money away on more nonsense. And pay 2 Boro Mgrs for a year? And spend $20,00 to build a concrete pad at River PArk???? Surely you jest!!!! The only spending I can agree with is to donate more money to Mt Bethel Cemetary. They should do a town canvas or canvas at the Halloween Parade for donations!!!!!
WHAT???? Hire more Police Officers. I think you must have fallen and bumped your head. Ridiculous. You need to consolidate the Police. I'd rather pay a once a year fee for police services. this is unacceptable. hell, the Boro MUST be the laughing stock of Lancaster COunty. Did someone die and let you a few million??? How many NEW Police vehciles did you recently purchase? And to add insult to injury…there's very seldon more than 2 officers on a shift so IF you need them, they are out answering calls. Unbelieveable.
WHY ARE THE DOORS TO THE POLICE STATION ALMOST ALWAYS LOCKED????? DIDN'T ANYONE ELSE NOTICE THAT THERE HASN'T BEEN A SECOND/THIRD SHIFT DISPATCHER FOR WEEKS AND WEEKS?? WHAT'S THE SCOOP???ANOTHER WELL KEPT SECRET????
90 grand for a borough manager? Really, the spending spree continues by the Coffee Club. Why not spend money on streets and cleaning up the town. That is WAY TOO much for this position, who we haven't seen anything this person has done! What experience does she have? What were past managers making?
Dear Lord help us. What the hell are you councilpersons thinking???? Money does NOT grow on trees. You are burying this town with the debt you continue to build. NO NO NO. Stop the spending. $95,000 a year for the first year for a Boro Manager???? Does this person even have any kind of background for this position? Are you people nuts? You NEVER listen to your constituents that put you in that seat. We are LOSING our homes every day. We can't afford to live. OUr taxes are OUT OF CONTROL and yet, you have the audacity to throw this money away on more nonsense. And pay 2 Boro Mgrs for a year? And spend $20,00 to build a concrete pad at River PArk???? Surely you jest!!!! The only spending I can agree with is to donate more money to Mt Bethel Cemetary. They should do a town canvas or canvas at the Halloween Parade for donations!!!!!
WHAT???? Hire more Police Officers. I think you must have fallen and bumped your head. Ridiculous. You need to consolidate the Police. I'd rather pay a once a year fee for police services. this is unacceptable. hell, the Boro MUST be the laughing stock of Lancaster COunty. Did someone die and let you a few million??? How many NEW Police vehciles did you recently purchase? And to add insult to injury…there's very seldon more than 2 officers on a shift so IF you need them, they are out answering calls. Unbelieveable.
WHY ARE THE DOORS TO THE POLICE STATION ALMOST ALWAYS LOCKED????? DIDN'T ANYONE ELSE NOTICE THAT THERE HASN'T BEEN A SECOND/THIRD SHIFT DISPATCHER FOR WEEKS AND WEEKS?? WHAT'S THE SCOOP???ANOTHER WELL KEPT SECRET????
90 grand for a borough manager? Really, the spending spree continues by the Coffee Club. Why not spend money on streets and cleaning up the town. That is WAY TOO much for this position, who we haven't seen anything this person has done! What experience does she have? What were past managers making?
LikeLike
Dear Lord help us. What the hell are you councilpersons thinking???? Money does NOT grow on trees. You are burying this town with the debt you continue to build. NO NO NO. Stop the spending. $95,000 a year for the first year for a Boro Manager???? Does this person even have any kind of background for this position? Are you people nuts? You NEVER listen to your constituents that put you in that seat. We are LOSING our homes every day. We can't afford to live. OUr taxes are OUT OF CONTROL and yet, you have the audacity to throw this money away on more nonsense. And pay 2 Boro Mgrs for a year? And spend $20,00 to build a concrete pad at River PArk???? Surely you jest!!!! The only spending I can agree with is to donate more money to Mt Bethel Cemetary. They should do a town canvas or canvas at the Halloween Parade for donations!!!!!
LikeLike
WHAT???? Hire more Police Officers. I think you must have fallen and bumped your head. Ridiculous. You need to consolidate the Police. I'd rather pay a once a year fee for police services. this is unacceptable. hell, the Boro MUST be the laughing stock of Lancaster COunty. Did someone die and let you a few million??? How many NEW Police vehciles did you recently purchase? And to add insult to injury…there's very seldon more than 2 officers on a shift so IF you need them, they are out answering calls. Unbelieveable.
LikeLike
no pain no gain
LikeLike
WHY ARE THE DOORS TO THE POLICE STATION ALMOST ALWAYS LOCKED????? DIDN'T ANYONE ELSE NOTICE THAT THERE HASN'T BEEN A SECOND/THIRD SHIFT DISPATCHER FOR WEEKS AND WEEKS?? WHAT'S THE SCOOP???ANOTHER WELL KEPT SECRET????
LikeLike
90 grand for a borough manager? Really, the spending spree continues by the Coffee Club. Why not spend money on streets and cleaning up the town. That is WAY TOO much for this position, who we haven't seen anything this person has done! What experience does she have? What were past managers making?
LikeLike
Dear Lord help us. What the hell are you councilpersons thinking???? Money does NOT grow on trees. You are burying this town with the debt you continue to build. NO NO NO. Stop the spending. $95,000 a year for the first year for a Boro Manager???? Does this person even have any kind of background for this position? Are you people nuts? You NEVER listen to your constituents that put you in that seat. We are LOSING our homes every day. We can't afford to live. OUr taxes are OUT OF CONTROL and yet, you have the audacity to throw this money away on more nonsense. And pay 2 Boro Mgrs for a year? And spend $20,00 to build a concrete pad at River PArk???? Surely you jest!!!! The only spending I can agree with is to donate more money to Mt Bethel Cemetary. They should do a town canvas or canvas at the Halloween Parade for donations!!!!!
LikeLike
WHAT???? Hire more Police Officers. I think you must have fallen and bumped your head. Ridiculous. You need to consolidate the Police. I'd rather pay a once a year fee for police services. this is unacceptable. hell, the Boro MUST be the laughing stock of Lancaster COunty. Did someone die and let you a few million??? How many NEW Police vehciles did you recently purchase? And to add insult to injury…there's very seldon more than 2 officers on a shift so IF you need them, they are out answering calls. Unbelieveable.
LikeLike
no pain no gain
LikeLike
WHY ARE THE DOORS TO THE POLICE STATION ALMOST ALWAYS LOCKED????? DIDN'T ANYONE ELSE NOTICE THAT THERE HASN'T BEEN A SECOND/THIRD SHIFT DISPATCHER FOR WEEKS AND WEEKS?? WHAT'S THE SCOOP???ANOTHER WELL KEPT SECRET????
LikeLike