Skip to content

Columbia Spy

Columbia, PA 17512 News & Opinion

Columbia Spy

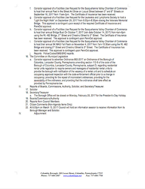
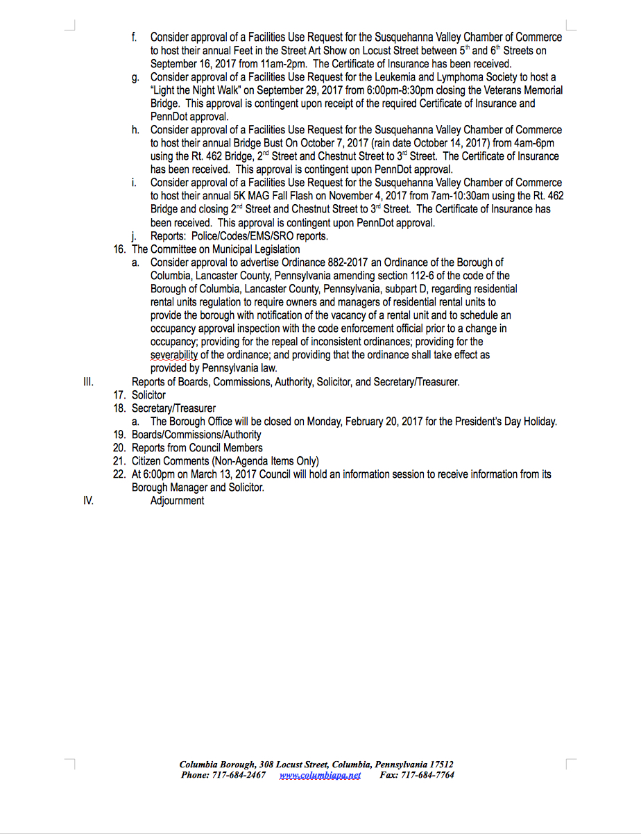
Draft Agenda – Borough Council Meeting February 13, 2017

Share this:

  • Share on X (Opens in new window) X
  • Share on Facebook (Opens in new window) Facebook
  • More
  • Share on Bluesky (Opens in new window) Bluesky
  • Share on X (Opens in new window) X
Like Loading...

Related

Unknown's avatarAuthor SPYPosted on February 11, 2017

Leave a comment Cancel reply

Post navigation

Previous Previous post: About Town
Next Next post: Year End Report 2016 – Lancaster County Wide Communications
  • Columbia Market House continues to operate at a loss; Borough officials acknowledge financial shortfall with no clear end in sight
  • Truist Bank to depart, leaving Columbia without a bank; Officials consider moving borough accounts to Fulton Bank
  • Public health experts and retired leader offer insight into Columbia schools’ high vaccination rates | Health | lancasteronline.com
  • Columbia Borough Public Works Dept. Report for March 2026
  • Agenda — Columbia Borough Council Meeting — May 5, 2026
Columbia Spy Blog at WordPress.com.
  • Comment
  • Reblog
  • Subscribe Subscribed
    • Columbia Spy
    • Already have a WordPress.com account? Log in now.
    • Columbia Spy
    • Subscribe Subscribed
    • Sign up
    • Log in
    • Copy shortlink
    • Report this content
    • View post in Reader
    • Manage subscriptions
    • Collapse this bar
%d